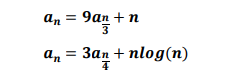
Question: Consider the following recursive functions: a n = 9 a n 3 + n a n = 3 a n 4 + n l o
Consider the following recursive functions:
Use the Masters Theorem to analyse and compute the big O complexity of these functions.
Step by Step Solution
There are 3 Steps involved in it
1 Expert Approved Answer
Step: 1 Unlock
Question Has Been Solved by an Expert!
Get step-by-step solutions from verified subject matter experts
Step: 2 Unlock
Step: 3 Unlock
