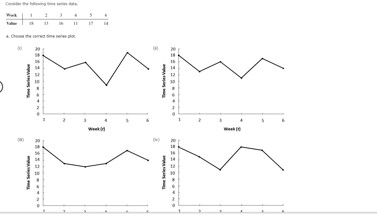
Question: Consider the following time series data. a. Choose the correct time series plot. (i) (ii) (iii (iv) What type of pattern exists in the data?



Consider the following time series data. a. Choose the correct time series plot. (i) (ii) (iii (iv) What type of pattern exists in the data? MSE: The forecast for week 7: . Compare the three-week moving average forecast with the exponential smoothing forecast using a=0.2. Which appears to provide the better f Explain. The input in the box below will not be graded, but may be reviewed and considered by your instructor: Use trial and error to find a value of the exponential smoothing coefficient a that results in a smaller MSE than what you calculated for a = 0.2
Step by Step Solution
There are 3 Steps involved in it
1 Expert Approved Answer
Step: 1 Unlock
Question Has Been Solved by an Expert!
Get step-by-step solutions from verified subject matter experts
Step: 2 Unlock
Step: 3 Unlock
