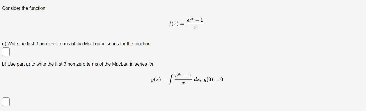
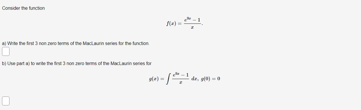
Question: Consider the function 1 f(@) = a) Write the first 3 non zero terms of the MacLaurin series for the function. b) Use part a)


Consider the function 1 f(@) = a) Write the first 3 non zero terms of the MacLaurin series for the function. b) Use part a) to write the first 3 non zero terms of the MacLaurin series for g(2) = dx, g(0) = 0
Step by Step Solution
There are 3 Steps involved in it
Get step-by-step solutions from verified subject matter experts
