Question: Consider the function f given by f(x, y, z) = xz. Find the average value of the function f over the region F in the





![value of the function at, 3;, z] = M over the region](https://s3.amazonaws.com/si.experts.images/answers/2024/06/666384071c371_89466638406f4078.jpg)


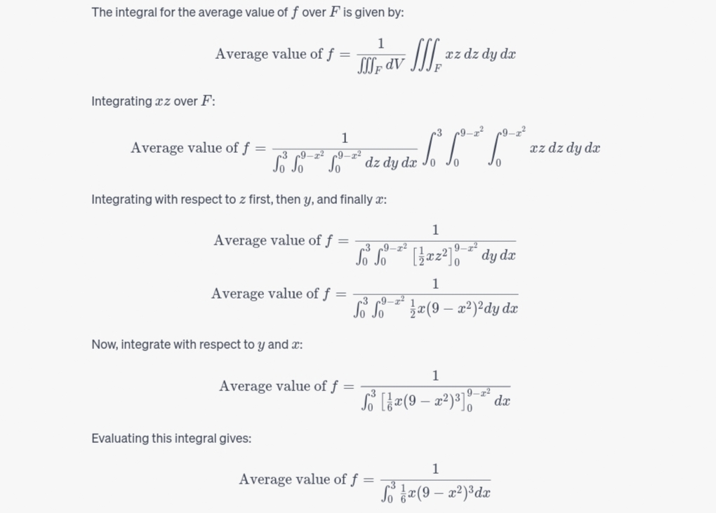
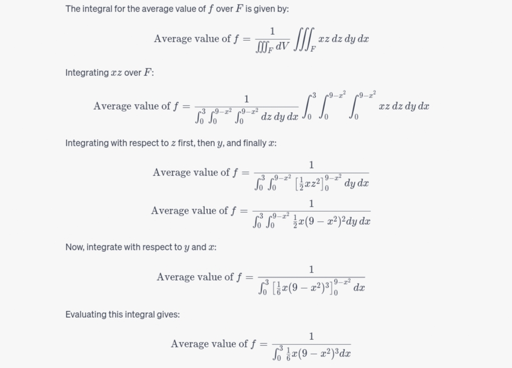
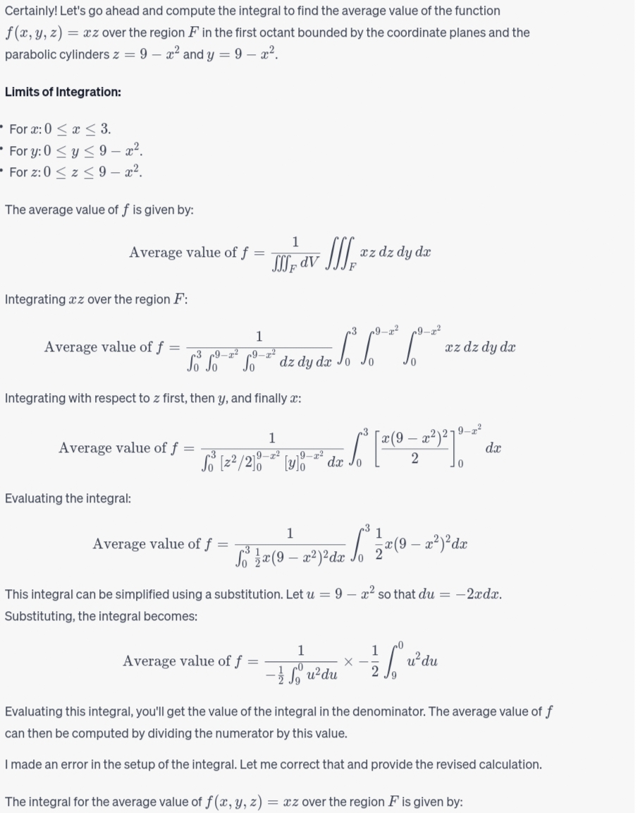
Consider the function f given by f(x, y, z) = xz. Find the average value of the function f over the region F in the first octant bounded by the coordinate planes and the parabolic cylinders z = 9 - x and y = 9 - x. XCertainly! Let's go ahead and compute the integral to find the average value of the function at, 3;, z] = M over the region F in the first octant bounded by the coordinate planes and the parabolic cylinders z = 9 1:2 and y = 9 :2. Limits of Integration: " Form:0::a::3. " Fory:D:Zg2.>
Step by Step Solution
There are 3 Steps involved in it
Get step-by-step solutions from verified subject matter experts
