Question: Consider the function in the picture: Write Python Code Solutions please. 1 ) Apply the steepest gradient descent method starting at initial point ( x
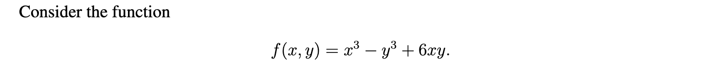
Consider the function in the picture:
Write Python Code Solutions please.
Apply the steepest gradient descent method starting at initial point x y with step size i What happens to the sequence of points and the gradient of f at those points?
Apply the steepest gradient descent method starting at initial point x y with step size i What happens to the sequence of points and the gradient of f at those points? If the sequence does not converge, examine points from the initial part of
the sequence only.
Use the Newtons method instead of the steepest gradient descent. Discuss how the sequence of points behave differently when the Newtons method is used.
Step by Step Solution
There are 3 Steps involved in it
1 Expert Approved Answer
Step: 1 Unlock
Question Has Been Solved by an Expert!
Get step-by-step solutions from verified subject matter experts
Step: 2 Unlock
Step: 3 Unlock
