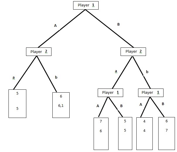
Question: Consider the game extensively below and answer: plaqer player player player player
Consider the game extensively below and answer:

plaqer player player player player
Step by Step Solution
There are 3 Steps involved in it
Get step-by-step solutions from verified subject matter experts
