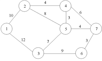
Question: Consider the network below, where node 1 is the source node and node 7 is the destination node and our goal is to find the

Consider the network below, where node 1 is the source node and node 7 is the destination node and our goal is to find the shortest path between these two nodes. Construct the constraint which correctly enforces proper flow in/out of node 1.
 Consider the network below, where node 1 is the source node

Step by Step Solution

There are 3 Steps involved in it

1 Expert Approved Answer
Step: 1 Unlock blur-text-image
Question Has Been Solved by an Expert!

Get step-by-step solutions from verified subject matter experts

Step: 2 Unlock
Step: 3 Unlock

Students Have Also Explored These Related General Management Questions!