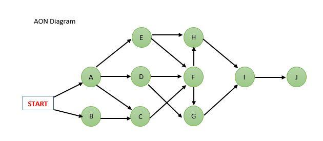
Question: Construct CPM and PERT Analysis. IMMEDIATE PREDECESSORS ACTIVITY B D E F G H | J AB C, D, E D,F E,F GH I TIME
Construct CPM and PERT Analysis.



Step by Step Solution
There are 3 Steps involved in it
1 Expert Approved Answer
Step: 1 Unlock
Question Has Been Solved by an Expert!
Get step-by-step solutions from verified subject matter experts
Step: 2 Unlock
Step: 3 Unlock
