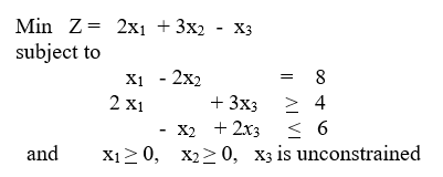
Question: Construct the dual for this linear programming problem. Min Z= 2x1 + 3x2 subject to X1 - 2x and X3 8 2 x1 + 3x3

Construct the dual for this linear programming problem.
Min Z= 2x1 + 3x2 subject to X1 - 2x and X3 8 2 x1 + 3x3 > 4 X2 + 2x3 6 X1 0, X20, x3 is unconstrainedStep by Step Solution
There are 3 Steps involved in it
1 Expert Approved Answer
Step: 1 Unlock
Question Has Been Solved by an Expert!
Get step-by-step solutions from verified subject matter experts
Step: 2 Unlock
Step: 3 Unlock
