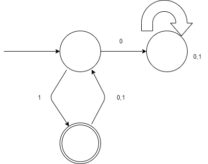
Question: Convert dfa to regular expression 0 3. 0.1 1 0.1
Convert dfa to regular expression

0 3. 0.1 1 0.1
Step by Step Solution
There are 3 Steps involved in it
1 Expert Approved Answer
Step: 1 Unlock
Question Has Been Solved by an Expert!
Get step-by-step solutions from verified subject matter experts
Step: 2 Unlock
Step: 3 Unlock
