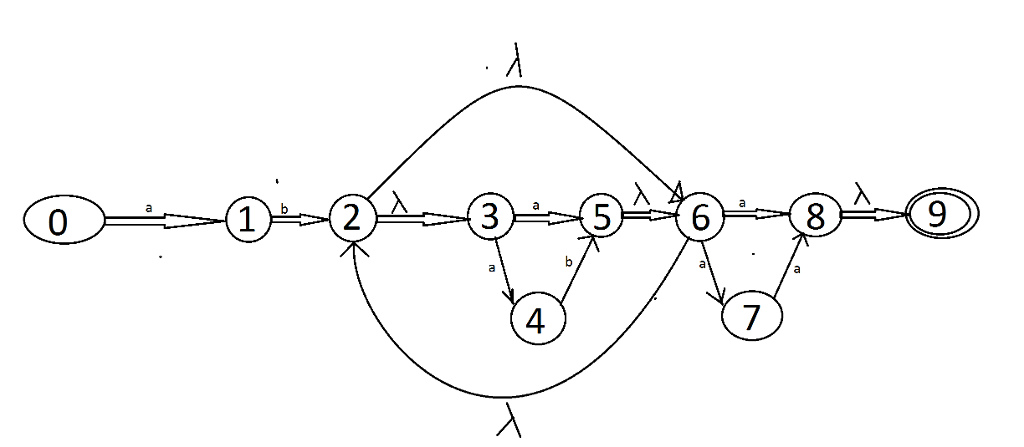
Question: Convert this language to a NFA L(ab(a+b)*(a+aa)) Answer: the graph is as follows: Question: How do you know when to insert lambda? Will give thumbs
Convert this language to a NFA
L(ab(a+b)*(a+aa))
Answer: the graph is as follows:
Question: How do you know when to insert lambda? Will give thumbs up :)

8 7 5 4 0
Step by Step Solution
There are 3 Steps involved in it
Get step-by-step solutions from verified subject matter experts
