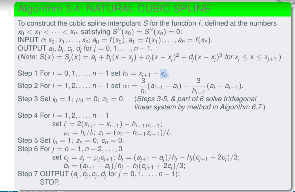
Question: convert to matlab code. To construct the cubic spline interpolant S for the function f, defined at the numbers Xo X1 n, satisfying S(%)-S'(Xn) 0:
convert to matlab code.
To construct the cubic spline interpolant S for the function f, defined at the numbers Xo X1 n, satisfying S"(%)-S'(Xn) 0: INPUT n; Xo, X1 , . . . , Xn, ao-: f(%) , a OUTPUT aj, bi, ci, for j = 0, 1 , . . . , n an f(%) Step 1 For i 0,1,...,n- 1 set h, Xi+1 -X Step 2 For i 1,2,... ,n- 1 set a(a1 -a) Step 3 Set lo 1; Ho 0; Zo -0. (Steps 3-5, & part of 6 solve tridiagonal Step 4 For i=1,2, ,n-1 3 3 ai -aj-1 linear system by method in Algorithm 6.7.) Step 5 Set In 1; Zn0; Cn0 Step 6 For j n -1, n - 2,... ,0 Step 7 OUTPUT (aj, bj, ci, for j 0.1 , . . . , n-1); STOP
Step by Step Solution
There are 3 Steps involved in it
Get step-by-step solutions from verified subject matter experts
