Question: Cost Analysis Assignment 'Name: Costing Economic Issues Assignment Directions: Attached to this worksheet is the wage schedule for Sample Company's unionized production workers. Using that

Cost Analysis Assignment

Cost Analysis Assignment 'Name: CostingCost Analysis Assignment 'Name: CostingCost Analysis Assignment 'Name: CostingCost Analysis Assignment 'Name: CostingCost Analysis Assignment 'Name: Costing
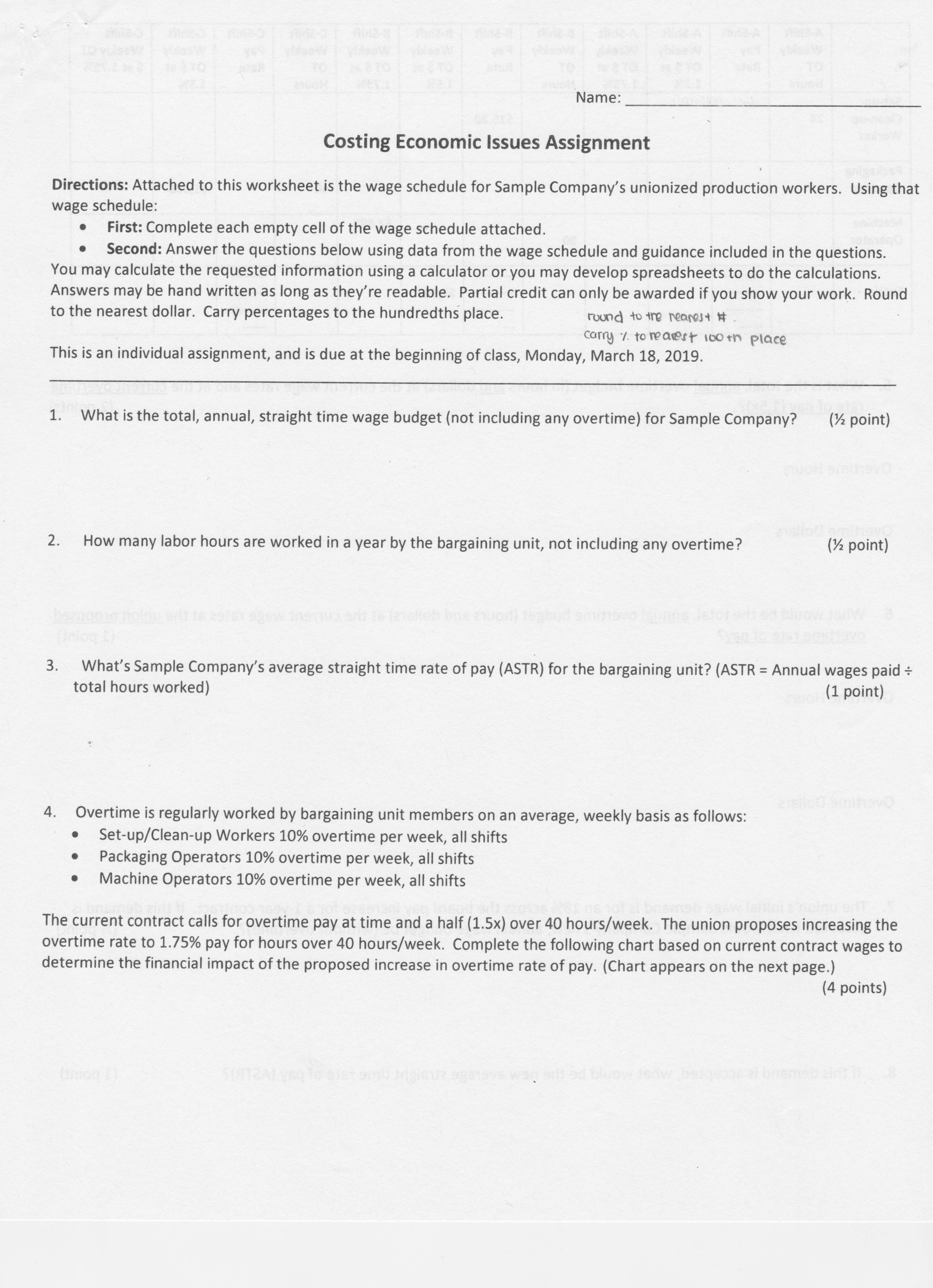
'Name: Costing Economic Issues Assignment Directions: Attached to this worksheet is the wage schedule for Sample Company's unionized production workers. Using that wage schedule: 0 First: Complete each empty cell of the wage schedule attached. 0 Second: Answer the questions below using data from the wage schedule and guidance included in the questions. You may calculate the requested information using a calculator or you may develop spreadsheets to do the calculations. Answers may be hand written as long as they're readable. Partial credit can only be awarded if you show your work. Round to the nearest dollar. Carry percentages to the hundredths place. round Hm mum it . Corrg 'I. tomaenr loo tn place This is an individual assignment, and is due at the beginning of class, Monday, March 18, 2019. --_____________________ 1. What is the total, annual, straight time wage budget (not including any overtime) for Sample Company? (V2 point) 2. How many labor hours are worked in a year by the bargaining unit, not including any overtime? (V2 point) 3. What's Sample Company's average straight time rate of pay (ASTR) for the bargaining unit? (ASTR = Annual wages paid + total hours worked) (1 point) 4. Overtime is regularly worked by bargaining unit members on an average, weekly basis as follows: - Set-up/CIean-up Workers 10% overtime per week, all shifts 0 Packaging Operators 10% overtime per week, all shifts 0 Machine Operators 10% overtime per week, all shifts The current contract calls for overtime pay at time and a half (1.5x) over 40 hours/week. The union proposes increasing the overtime rate to 1.75% pay for hours over 40 hours/week. Complete the following chart based on current contract wages to determine the financial impact of the proposed increase in overtime rate of pay. (Chart appears on the next page.) (4 points) A-Shift A-Shift Weekly Pay OT Rate Hours Set-up- Clean-up Worker Machine Operator Tom's \"I Packaging Operator no C-Sh'ift Weekly OT Hours CShift Pay Rate C-Shift Weekly OT 5 at $ at 1.75% 1.5% ' $1,068 C-Shift Weekly OT 5. What is the total, annual overtime budget (in hours and dollars) at the current wage rates and at the current overtime rate of gay (1.5x)? Overtime Hours Overtime Dollars (2 points) 6. What would be the total, annual overtime budget (hours and dollars) at the current wage rates at the union proposed overtime rate of pay? Overtime Hours Overtime Dollars (1 point) 7. The union's initial wage demand is for an 18% across the board pay increase for a 1-year contract. If this demand is accepted what would Sample Company's new, annual wage budget be (without overtime)? 8. If this demand is accepted, what would be the new average straight time rate of pay (ASTR)? (1/2 point) (1 point) 9.' Negotiations conclude with the union accepting wage increases for a 2year contract as follows: 0 YR1 = 1.5% increase 0 YR2 = 2.5% increase What is Sample Company's wage budget (not including overtime) and ASTR for each of the years of the contract? YR1 Wage Budget and ASTR (1 point) YR2 Wage Budget and ASTR (1 point) 10. In addition to the wage increase indicated above, Union and Management agree on an extra paid Personal Day for Bargaining Unit members. Based on the new wage increases, how much will that extra paid day off cost in Year 1 and in Year 2 of the 2-year contract? YR1 ('/2 point) YR2 0/: point) 11. Health insurance premiums cost $1,000 per month per employee and currently are shared 80% by the company and 20% by the employee. The insurance company has quoted Management an 11% increase in cost of the insurance for YR1 and an 8% increase in cost for YR2. Management has proposed changing the cost sharing ratio to 60% company and 40% employee; Complete the chart to reflect the cost changes: (2 points) Current Current Current YR1 Total YR1 YR1 YR2 Total YR2 YR2 Total Cost Company Employee Cost Company Employee Company Employee Cost Cost Cost Cost 12. What is the annual savings Management will realize each of the years of the 2 year contract if the Union agrees to the health insurance cost sharing proposal? (1 point) 13. The final, 2 year contract includes the following: o Wage increases of 1.5% in YR1 and 2.5% in YR2 0 Health Insurance Premium Cost Sharing at 60% company and 40% employee 0 1 additional personal paid day off for each employee per year. What is the cost of these items to the company prior to the current contract negotiations? ('A point) Wage Budget before negotiations = Health Insurance Premium cost for Company = Total = What is the final cost of the contract to the company for YR1? (1/2 point) Wage Budget YR1 = Health Insurance Premium Cost to Company YR1 = Cost of Additional Paid Day Off YR1 = Total = What is the final cost of the contract to the company for YRZ? ('/z point) Wage Budget YRZ = Health insurance Premium Cost to Company YR2 = Cost of Additional Paid Day Off = Total = 14. What % or what % increase has the Company realized over its prior CBA for these contract provisions? YR1: (Previous labor costs YR1 labor costs) + Previous labor costs = (1 point) YR2: (Previous labor costs YR2 labor costs) + Previous labor costs = (1 point) Notes :" Pay . . . Grade\\ \\ Title Job \\Quality Control Worker \\Operator Operator Machine Packaging Technician Technician |Warehouse up Worker Setup / Clean - |Maintenance Sample Company Wage Schedule \\$ 22.00 |$ 1.9.50 \\$ 16.00 \\$ 15 .00 $19. 00 $17.50 |Hourly Pay Rate \\All employees work full time and full year for the company in 6 00 20 12 or Ees # of The plant operates on a 24 / 5 operation and is closed on the weekends \\A - Shift \\All employees on the above wage schedule are members of the bargaining unit 20 12 Ees \\# of B - Shift D W 4 P C - 10 Ees # Of Shift \\Sample Company pays shift differentials of 206 per hour to B-Shift workers and 306 per hour to C-Shift workers |$ 187 , 200 Total Yearly Wages A - Shift |$798 , 720 Total Yearly Wages B - Shift \\$370 , 240 Total Yearly Wages C - Shift \\All Shifts ( 5 points ) Total Annual Wages

Step by Step Solution

There are 3 Steps involved in it

1 Expert Approved Answer
Step: 1 Unlock blur-text-image
Question Has Been Solved by an Expert!

Get step-by-step solutions from verified subject matter experts

Step: 2 Unlock
Step: 3 Unlock

Students Have Also Explored These Related General Management Questions!