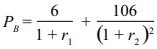
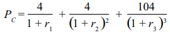
Question: Could anybody explain in detail how to solve this problem to find the spot rate for r2 and r3 if r1 is 0.05, and the
Could anybody explain in detail how to solve this problem to find the spot rate for r2 and r3 if r1 is 0.05, and the Pb = 101 and Pc = 96?


Step by Step Solution
There are 3 Steps involved in it
Get step-by-step solutions from verified subject matter experts
