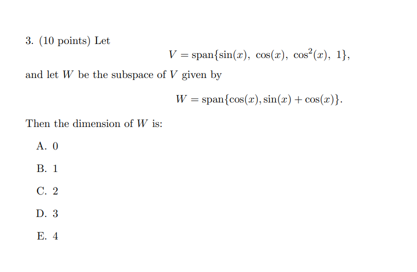
Question: Could you please help me solve this question? 3. (10 points) Let V = span {sin(a), cos(x), cos? (x), 1}, and let W be the
Could you please help me solve this question?

Step by Step Solution
There are 3 Steps involved in it
1 Expert Approved Answer
Step: 1 Unlock
Question Has Been Solved by an Expert!
Get step-by-step solutions from verified subject matter experts
Step: 2 Unlock
Step: 3 Unlock
