Question: Course: Artificial Intelligence Random Search with Closed List: (Current node: X, Child Nodes: S, Next selected node: X, Closed List: C) Step1: X = Initial
Course: Artificial Intelligence
Random Search """""""with Closed List"""""""": (Current node: X, Child Nodes: S, Next selected node: X, Closed List: C)
Step1: X = Initial Node Step2: if X == Target Node, then end with Success Step3: Get child nodes of X and store them to S.
If S is Empty, then end with Failure.
Move X to closed list C.
Step4: Select a random node from S which is not inclosed list C and store it to X.
Step5: Replace X with X (X=X) and return to step2.
Example1:

Initial Node = 0,0 Target Node = 2, 2
| # | X | S | X | C |
| 1 | 0,0 | (0,1), (1,0) | ||
| 2 | (1,0) | 0,1 | (0,0) | |
| 3 | 0,1 | (0,0), (0,2) | ||
| 4 | 0,2 | (0,1), (0,0) | ||
| 5 | 0,2 | (1,2), (0, 1) | ||
| 6 | 1, 2 | (0,2), (0,1), (0,0) | ||
| 7 | 1, 2 | (1, 1), (0, 2) | ||
| 8 | 1, 1 | (1, 2), (0,2), (0,1), (0,0) | ||
| 9 | 1, 1 | (1, 2), (1, 0) (2, 1) | ||
| 10 | 2, 1 | (1, 1), (1, 2), (0,2), (0,1), (0,0) | ||
| 11 | 2, 1 | (1, 1), (2, 2) | ||
| 12 | 2, 2 | (2, 1), (1, 1), (1, 2), (0,2), (0,1), (0,0) | ||
| 13 | 2, 2 | |||
""""""""""!!!!!!!!!! Note:Please Solve Question 1 like Example 1 !!!!!!!!"""""""""""
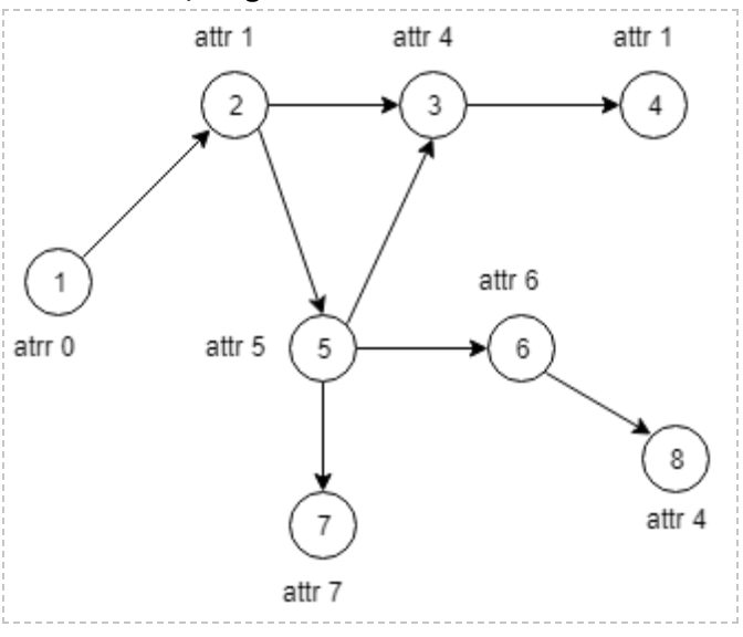
Question 1:
Initial Node: 1, Target Node: 8

(0,2) (1,2) (2,2) (0,1) (1,1) (2,1) (0,0) (1,0) (2,0) 1 attr 1 attr 4 attr 1 2 attr 6 atrr 0 attr 5 5 6 8 7 attr 4 attr 7 (0,2) (1,2) (2,2) (0,1) (1,1) (2,1) (0,0) (1,0) (2,0) 1 attr 1 attr 4 attr 1 2 attr 6 atrr 0 attr 5 5 6 8 7 attr 4 attr 7
Step by Step Solution
There are 3 Steps involved in it
Get step-by-step solutions from verified subject matter experts
