Question: Course: Artificial Intelligence Random Search with Open List: (Current node: X, Child Nodes: S, Next selected node: X, Closed List: C, Open List: O)
Course: Artificial Intelligence
Random Search """""""with Open List""""""""""": (Current node: X, Child Nodes: S, Next selected node: X, Closed List: C, Open List: O)
Step1: Add initial node to open list O. Step2: If open list O is empty, then end with Failure
Take top node as X from the open list O. If X is Target node, then end with Success.
Step3: Take the child nodes of X and store them in S.
Move X to closed List C. Step4: Add the child node X from S to open list O if the child node X is not part of closed list C. Step5: Return to Step 2.
Example 1:

Initial Node = 0,0 Target Node = 2, 2
| # | O | X | S | X | C |
| 1 | (0,0) | ||||
| 2 | 0, 0 | (0,1), (1,0) | |||
| 3 | (0,1), (1,0) | (0,0) | |||
| 4 | (1,0) | 0, 1 | (0,0), (0,2) | ||
| 5 | (0,2), (1,0) | (0, 1), (0,0) | |||
| 6 | (1,0) | 0,2 | (0,1), (1, 2) | ||
| 7 | (1, 2), (1,0) | (0,2), (0, 1), (0,0) | |||
| 9 | (1,0) | 1, 2 | (1,1), (0,2) | ||
| 9 | (1,1), (1,0) | (1, 2), (0,2), (0, 1), (0,0) | |||
| 10 | (1,0) | 1,1 | (1, 2), (2,1), (1,0) | ||
| 11 | (2,1), (1,0) | (1,1), (1, 2), (0,2), (0, 1), (0,0) | |||
| 12 | (1,0) | 2,1 | (1, 1) (2, 2) | ||
| 13 | (2, 2), (1,0) | (2,1), (1,1), (1, 2), (0,2), (0, 1), (0,0) | |||
| 14 | 2, 2 |
"""""""""!!!!!!!!!! Note:Please Solve Question 1 like Example 1 !!!!!!!!"""""""""""
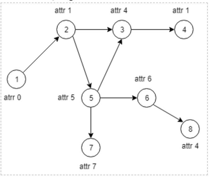
Question 1:
Initial Node: 1, Target Node: 8

(0,2) (1,2) (2,2) (0,1) (1,1) (2,1) (0,0) (1,0) (2,0) 1 attr 1 attr 4 attr 1 2 attr 6 atrr 0 attr 5 5 6 8 7 attr 4 attr 7 (0,2) (1,2) (2,2) (0,1) (1,1) (2,1) (0,0) (1,0) (2,0) 1 attr 1 attr 4 attr 1 2 attr 6 atrr 0 attr 5 5 6 8 7 attr 4 attr 7
Step by Step Solution
There are 3 Steps involved in it
Get step-by-step solutions from verified subject matter experts
