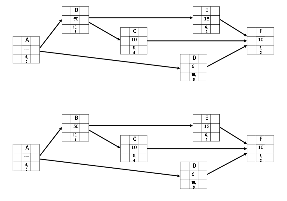
Question: Crash the project below to its minimum duration using the network given and the information provided. The total normal cost of the project is $325.
Crash the project below to its minimum duration using the network given and the information provided. The total normal cost of the project is $325. The starting indirect cost of the project is $180, and it drops $20 for every day the project is reduced. Use a new diagram for each day you crash and complete all network information in the diagram each time. Record the information requested in the table provided at the bottom of this assignment for each day crashed and report the optimum project duration.




Legend: ID=TaskIDES=EarlyStartLS=LateStartNT=NormalTimeCC=DailyCrashCostSL=SlackEF=EarlyFinishLF=LatefinishCT=CrashTime Project Crashing Information: Optimum Project Duration: Legend: ID=TaskIDES=EarlyStartLS=LateStartNT=NormalTimeCC=DailyCrashCostSL=SlackEF=EarlyFinishLF=LatefinishCT=CrashTime Project Crashing Information: Optimum Project Duration
Step by Step Solution
There are 3 Steps involved in it
Get step-by-step solutions from verified subject matter experts
