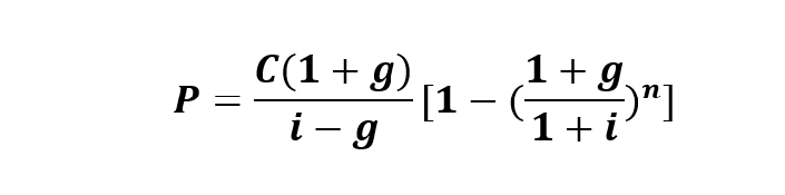
Question: Create a spreadsheet model for calculating P. Use seperate cells to store each of the inputs. Set C=1000, g=0.01, i=0.1, n=10. C(1 + g) 1
Create a spreadsheet model for calculating P. Use seperate cells to store each of the inputs. Set C=1000, g=0.01, i=0.1, n=10.

Step by Step Solution
There are 3 Steps involved in it
Get step-by-step solutions from verified subject matter experts
