Question: Create a Turing machine that computes the function f(x) = 2x + 3, where x is a positive integer represented in unary. The Turing machine
Create a Turing machine that computes the function f(x) = 2x + 3, where x is a positive integer represented in unary. The Turing machine starts with the input already on the tape and the read/write head positioned over the leftmost symbol of the input, as in the examples in the textbook.
(Please answer the question in the same format as the example, please use JFLAP for drawing, please do not handwrite or copy, thank you!)
Example
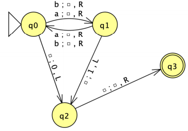
Create a Turing machine that computes the function f(w) = 0 if |w| is even, but 1 if |w| is odd, where w is a string over {a,b}.
Example Answer

states: {q0,q1,q2,q3}
input alphabet: {a,b}
tape alphabet: {0,1,a,b,}
blank symbol:
initial state: q0
final states: {q3}
transitions:
(q2,) = (q3,,R)
(q0,b) = (q1,,R)
(q1,b) = (q0,,R)
(q0,) = (q2,0,L)
(q0,a) = (q1,,R)
(q1,a) = (q0,,R)
(q1,) = (q2,1,L)
use JFLAPuse JFLAPuse JFLAP
same formatsame formatsame format
no handwrite no handwrite no handwrite
If you copy, I will directly give you a negative-rating
b; -, R a; -, R D 90 91 a;,R b; -, R 0;0,1 l'Ila 93 0;O,R 42Step by Step Solution
There are 3 Steps involved in it
Get step-by-step solutions from verified subject matter experts
