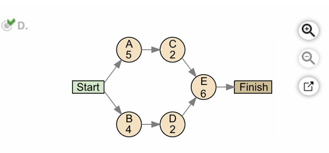
Question: D. A 5 ON 2 E Start Finish B 4 D 2 b. Determine the critical path and project duration. The critical path is path


Step by Step Solution
There are 3 Steps involved in it
1 Expert Approved Answer
Step: 1 Unlock
Question Has Been Solved by an Expert!
Get step-by-step solutions from verified subject matter experts
Step: 2 Unlock
Step: 3 Unlock
