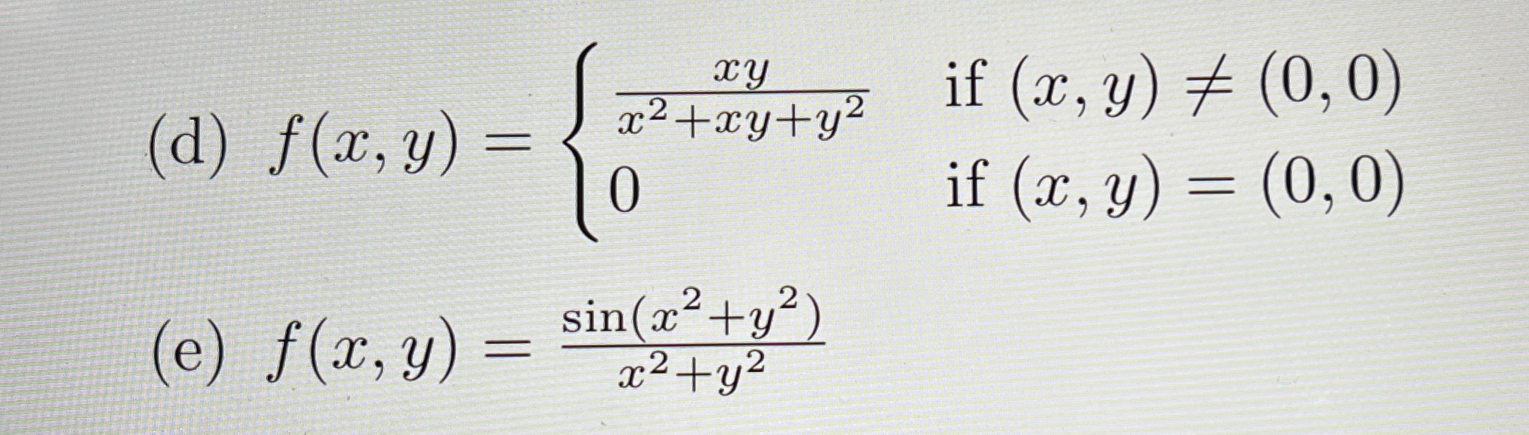
Question: ( d ) f ( x , y ) = { x y x 2 x y y 2 i f ( x , y
d
e
Find the subset of the domain in which the function is continuous
Step by Step Solution
There are 3 Steps involved in it
1 Expert Approved Answer
Step: 1 Unlock
Question Has Been Solved by an Expert!
Get step-by-step solutions from verified subject matter experts
Step: 2 Unlock
Step: 3 Unlock
