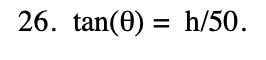
Question: d6 dh For problems 25 28, a = 12 when 8 = 1.3 , and 6 and h are related by the given formula. Find








d6 dh For problems 25 28, a = 12 when 8 = 1.3 , and 6 and h are related by the given formula. Find W .
Step by Step Solution
There are 3 Steps involved in it
Get step-by-step solutions from verified subject matter experts
