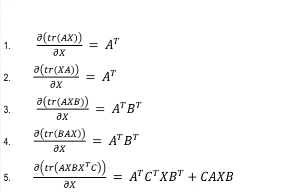
Question: Derive the following relations using indicial notation (where A, B, C, and X are matrices, and where A, B, and C are constants and do
Derive the following relations using indicial notation (where A, B, C, and X are matrices, and where A, B, and C are constants and do not depend on X):

1. X(tr(AX))=AT 2. X(tr(XA))=AT 3. X(tr(AXB))=ATBT 4. X(tr(BAX))=ATBT 5. X(tr(AXBXTC))=ATCTXBT+CAXB 1. X(tr(AX))=AT 2. X(tr(XA))=AT 3. X(tr(AXB))=ATBT 4. X(tr(BAX))=ATBT 5. X(tr(AXBXTC))=ATCTXBT+CAXB
Step by Step Solution
There are 3 Steps involved in it
Get step-by-step solutions from verified subject matter experts
