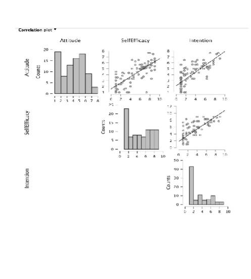
Question: Descriptive Statistics Descriptive Statistics Attitude Self:fficacy Intention Valid 86 86 Missing 0 0 0 Mean 3.984 4.694 3.725 Ste. Deviation 1.890 2.762 2.400 Minimum

Descriptive Statistics Descriptive Statistics Attitude Self:fficacy Intention Valid 86 86 Missing 0 0 0 Mean 3.984 4.694 3.725 Ste. Deviation 1.890 2.762 2.400 Minimum 1.000 1.000 1.000 Maximum 7.667 9.000 9.000 Linear Regression Model Summary - Intention Madel R Adjusted R RMSF Ho 0.000 0.000 0.000 2.400 H 0.817 0.667 0.659 1.402 ANOVA Model Sum of Squares of Mean Square F D H Regression Residual Total 326.363 2 163.068 83 163.182 1.965 83.058 Intention SelfEfficacy Correlation plot Attitude Counts 10- Attitude SelfEfficacy Intention 20 2 3 4 5 6 7 & Count 20 10- 10 15 0- n 2 4 6 * 10 8 10 50- 10- 30 70- 10- 0- D246
Step by Step Solution
There are 3 Steps involved in it
Get step-by-step solutions from verified subject matter experts
