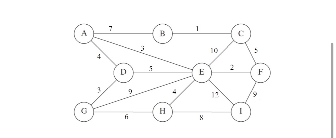
Question: Design a network model using the minimal - spanning tree technique to determine the path through the network that connects all the houses while minimizing
Design a network model using the minimalspanning tree technique to determine the path through the network that connects all the houses while minimizing total distance minimal total cable lengthSummarize your steps in a table showing the: a Connected nodes b Unconnected nodes c Closest unconnected node d Arc Selected e Arc lengthf. Total Distance B Compute the minimal total distance.
Step by Step Solution
There are 3 Steps involved in it
1 Expert Approved Answer
Step: 1 Unlock
Question Has Been Solved by an Expert!
Get step-by-step solutions from verified subject matter experts
Step: 2 Unlock
Step: 3 Unlock
