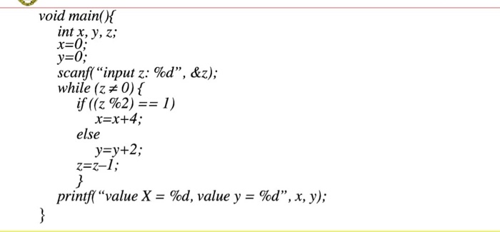
Question: design the datapath for this block of code something like this void main( int x, y, z; x=0; y=0; scanf(input z: %d, &z); while (z+0){

void main( int x, y, z; x=0; y=0; scanf("input z: %d", &z); while (z+0){ if ((z%2) == 1) x=x+4; else y=y+2; z=z-1; printf("value X = %d, value y = %d", x, y); Input Yload 1 2 Don Car Moal Count- Cacle Z clou- went ! Clex cuck! J XYMUX -2 Nmux- u. } Output X yout sigauty th your
Step by Step Solution
There are 3 Steps involved in it
Get step-by-step solutions from verified subject matter experts
