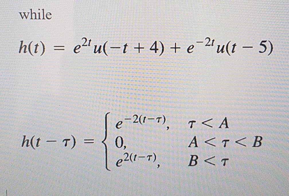
Question: determine A and B while h(t) = e24u(-+ + 4) + e-21ult 5) e-2(0-1), h(t T) = 0, T

determine A and B
while h(t) = e24u(-+ + 4) + e-21ult 5) e-2(0-1), h(t T) = 0, T
Step by Step Solution
There are 3 Steps involved in it
Get step-by-step solutions from verified subject matter experts
