Question: Determine a primitive function F (x) to f (x) = 9e^3x Determine the x-value for any extreme points for the function below. Answer the form
Determine a primitive function F (x) to
f (x) = 9e^3x
Determine the x-value for any extreme points for the function below. Answer the form x = x1, and the cases where there are several then answer the form x = x1x = x2...
y = x ^ 34x ^ 2
Determine a primitive function F (x) to f(x)=4x12x^2
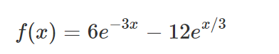
Determine a primitive function F (x) to

f (a) = 6p-3x 12e
Step by Step Solution
There are 3 Steps involved in it
Get step-by-step solutions from verified subject matter experts
