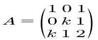
Question: Determine for which k0 matrix A admits an eigenvalue equal to 1 and compute the corresponding eigenvector. For the value of k that has been
Determine for which k≠0 matrix A admits an eigenvalue equal to 1 and compute the corresponding eigenvector.
For the value of k that has been determined in (a) study the sign of the quadratic form associated to the matrix A-2I in R3 and in the vector subspace generated by the following vectors

10 1 O k 1 k 1 2,
Step by Step Solution
3.34 Rating (148 Votes )
There are 3 Steps involved in it
Get step-by-step solutions from verified subject matter experts
