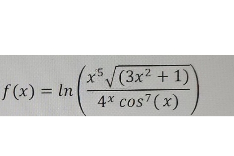
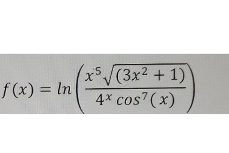
Question: Determine f'(x) 75 3x2 + 1) f ( x) = In 4x cost (x) (3x2 l) 4X cos7 (x) f (x) In

Determine f'(x)

75 3x2 + 1) f ( x) = In 4x cost (x)
(3x2 l) 4X cos7 (x) f (x) In
Step by Step Solution
There are 3 Steps involved in it
Get step-by-step solutions from verified subject matter experts
