Question: Determine the solution for each equation. show all the step for balancing the equation while solving 1. Determine the solution for each equation. Show all
Determine the solution for each equation. show all the step for balancing the equation while solving

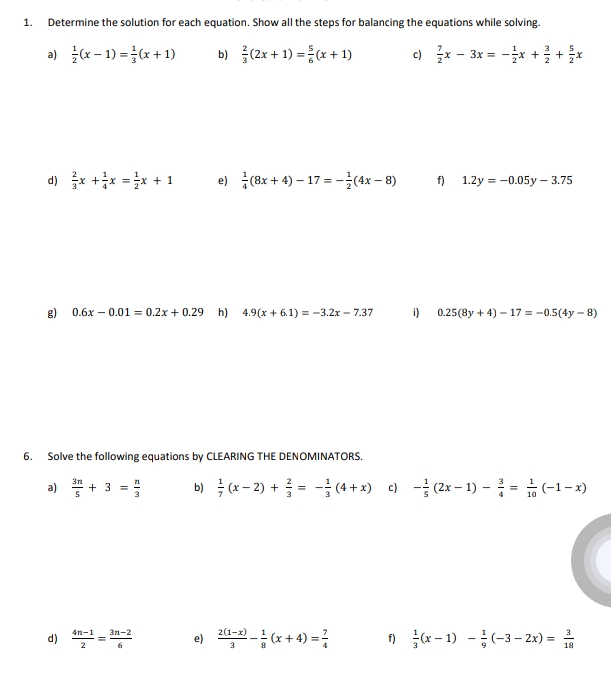
1. Determine the solution for each equation. Show all the steps for balancing the equations while solving. al =(x - 1) = =(x+1) b) - ( 2x + 1 ) = =(x + 1) c) -x - 3x = -x+ +x d) Ex+-x= =x+1 e) =(8x + 4) - 17 = -4(4x - 8) f) 1.2y = -0.05y - 3.75 g) 0.6x - 0.01 = 0.2x + 0.29 h) 4.9(x + 6.1) = -3.2x - 7.37 0.25 (By + 4) - 17 = -0.5(4y - 8) 6. Solve the following equations by CLEARING THE DENOMINATORS. a) -+ 3 = b) = ( x - 2) + ; = -- (4+x) c -= (2x - 1) - = = = (-1-x) d') An-1 3n-2 2 6 e) 2(1-2) _ 1 (x +4) = = 1 =(x -1) - = (-3 -2x) =
Step by Step Solution
There are 3 Steps involved in it
Get step-by-step solutions from verified subject matter experts
