Question: Determine three positive numbers with the sum result 100 and the result of the multiplication Maximum (note : for find out the solution use chain
- Determine three positive numbers with the sum result 100 and the result of the multiplication Maximum (note : for find out the solution use chain rule for differentiation partial derivatives, criticl point, extrem point and so on)
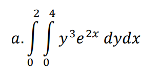
2. Calculate:


2 4 a. y'e2x dvdx C$ (x - y ) dx + ( xt y) dy
Step by Step Solution
There are 3 Steps involved in it
1 Expert Approved Answer
Step: 1 Unlock
Question Has Been Solved by an Expert!
Get step-by-step solutions from verified subject matter experts
Step: 2 Unlock
Step: 3 Unlock
