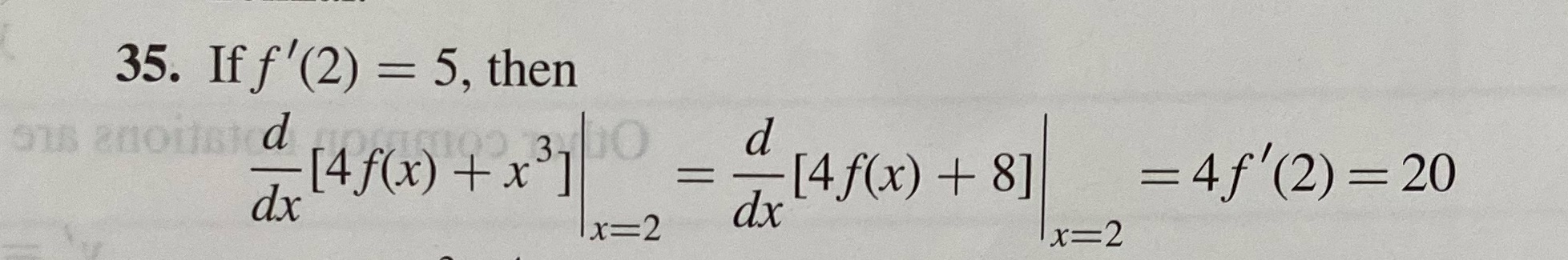
Question: Determine whether the statement is true or false. Explain your answer.? 35. If f'(2) = 5, then dx [4f(x) + x3] = dx [4f (x)
Determine whether the statement is true or false. Explain your answer.?

35. If f'(2) = 5, then dx [4f(x) + x3] = dx [4f (x) + 8] =4f (2) = 20 x=2 x=2
Step by Step Solution
There are 3 Steps involved in it
Get step-by-step solutions from verified subject matter experts
