Question: Determining how much time after slaughter is needed to ensure that steer muscle has a pH of 6.0 (data from Ch 8, problem 16). To
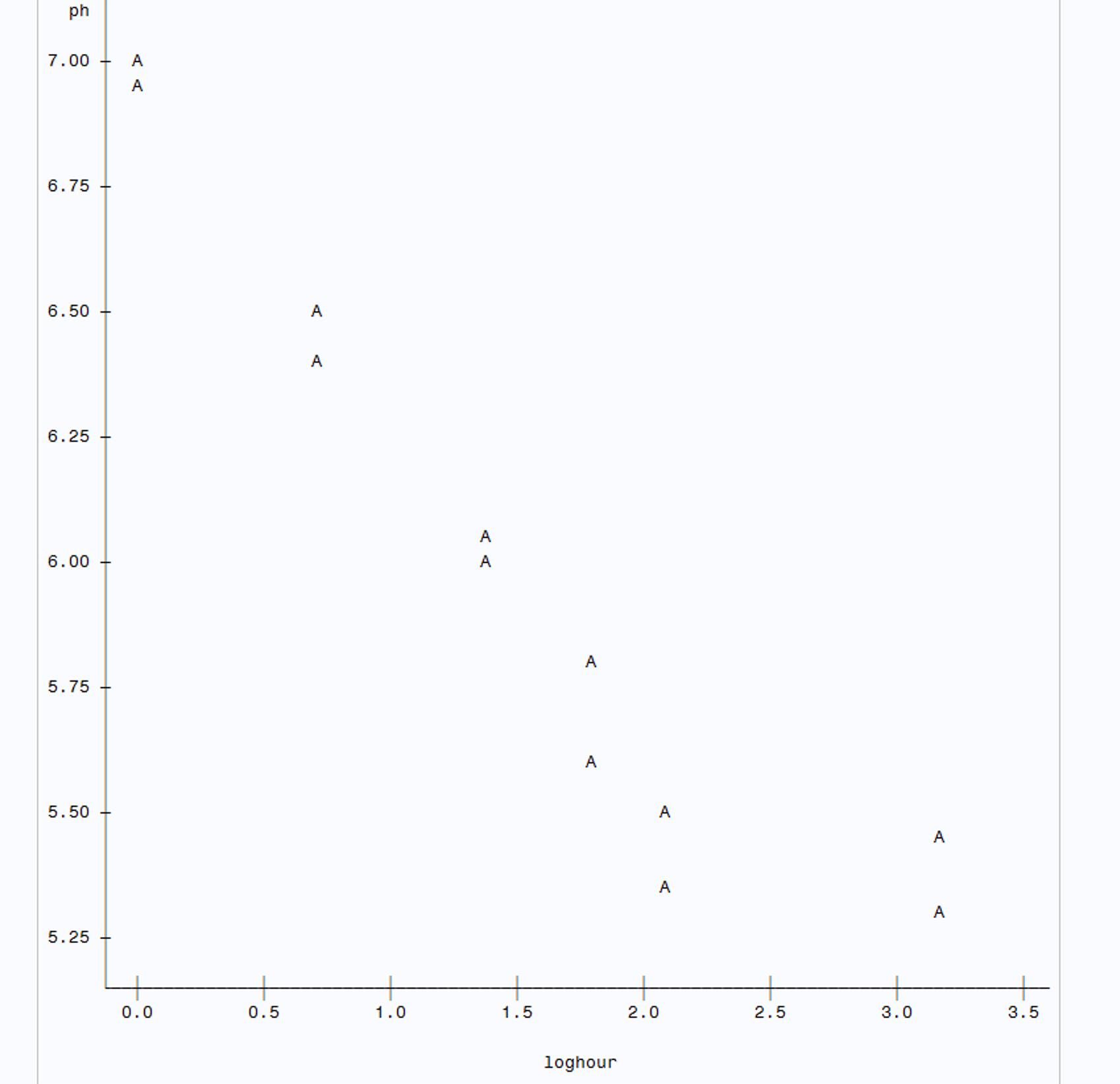
Determining how much time after slaughter is needed to ensure that steer muscle has a pH of 6.0 (data from Ch 8, problem 16). To evaluate this question, the researchers slaughtered 12 steers (assume these are randomly selected) and randomly assigned 2 steers to each of 6 time points for taking pH readings. pH readings were taken after 1, 2, 4, 6, 8 and 24 hours. The following SAS program contains the 12 pH readings and times (and log of the times) at which they were taken, produces a plot of the data, and produces output for a 1-way ANOVA and a simple linear regression.
title 'pH level in steer muscle after slaughter' ;
1 7.02
1 6.93
2 6.42
2 6.51
4 6.07
4 5.99
6 5.59
6 5.80
8 5.51
8 5.36
24 5.30
24 5.47



ph 7.00 A A 6.75 6.50 A A 6.25 D 6.00 - A 5.75 A 5.50 A A A A 5.25 0.0 0. 5 1 . 0 1.5 2.0 2.5 3.0 3.5 loghourThe SAS System 1-way ANOVA The GLM Procedure Dependent Variable: ph Source DF Sum of Squares Mean Square F Value Pr > F Model 5 3.91637500 0.78327500 79.59 <.0001 error corrected total r-square coeff var root mse ph mean source df type i ss square f value pr> F loghour 5 3.91637500 0.78327500 79.59 <.0001 source df type ill ss mean square f value pr> F loghour 5 3.91637500 0.78327500 79.59 <.0001the sas system simple linear regression the reg procedure model: model dependent variable: ph number of observations read used analysis variance sum mean source df squares square f value pr> F Model 3.51940 3.51940 77.18 <.0001 error corrected total root mse r-square dependent mean adj r-sq coeff var parameter estimates standard variable df estimate t value pr> It) Intercept 6.81148 0. 11129 61.21 <.0001 loghour>
Step by Step Solution
There are 3 Steps involved in it
Get step-by-step solutions from verified subject matter experts
