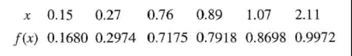
Question: Develop quadratic splines for these data points and predict f(1.4) and f(0.29). Write a Matlab code for this question. 0.15 0.27 0.76 0.89 1.07 2.11

Develop quadratic splines for these data points and predict f(1.4) and f(0.29). Write a Matlab code for this question.
0.15 0.27 0.76 0.89 1.07 2.11 f(x) 0.1680 0.2974 0.7175 0.7918 0.8698 0.9972
Step by Step Solution
There are 3 Steps involved in it
Get step-by-step solutions from verified subject matter experts
