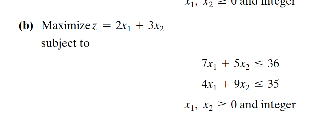
Question: Develop the B&B tree for each of the following problems. For convenience, always select x1 as the branching variable at node 0. 11, 12 =
Develop the B&B tree for each of the following problems. For convenience, always select
x1 as the branching variable at node 0.
Step by Step Solution
There are 3 Steps involved in it
Get step-by-step solutions from verified subject matter experts
