Question: Differential Equation (Homogenous and Non-Homogenous LDECC) check the solution below and if it is incorrect , solve the problem handwritten, format of solution must be
Differential Equation (Homogenous and Non-Homogenous LDECC) check the solution below and if it is incorrect , solve the problem handwritten, format of solution must be like the below solution






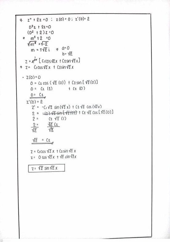
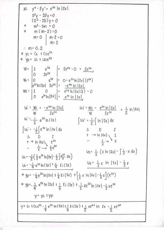
2. y(6) - 28y "+196y = 08. gy" - y = sec 9. z" + 2z = 0; z(0) = 0; z'(0) =2 10. y" - 2y' = e2* In|2x|\f8) 9y" - y = sec (x /3) SOLUTION : FOR YC f(Dly = 0 (9D* - 1) y =0 fim ) = 0 9m " - 1 :0 m= 1/9 m : $1/3 FOR YP Yp . u. e ) . use " W = 1/3 ex - 113 e-box Wa = O (119 sec ( x 13 ) - 113 er " - get sec (x 13 ) 113 ex 0 1/9 sec ( * 13) | = = => sec ( x 13 ) " W" ? ( - de sec Wish ) = sec (x 13) U. : We = - 3 ( 2 e). sec (x 13) ) = -6 ex sex (x/3) YP = 1/6 ex je sec (x/3) - 116 e" je sec (x/3) y= Crest . Cae . 1/6 e Je" sec (x/3) dx - 1/Ge"Je sec (x/3) dx\f\f
Step by Step Solution
There are 3 Steps involved in it
Get step-by-step solutions from verified subject matter experts
