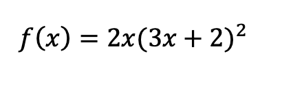
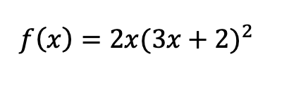
Question: Differentiate the function and simplify your answer as much as possible. Do not forget to show all steps. f(x) = 2x(3x +

Differentiate the function and simplify your answer as much as possible. Do not forget to show all steps.

f(x) = 2x(3x +
Step by Step Solution
There are 3 Steps involved in it
Get step-by-step solutions from verified subject matter experts
