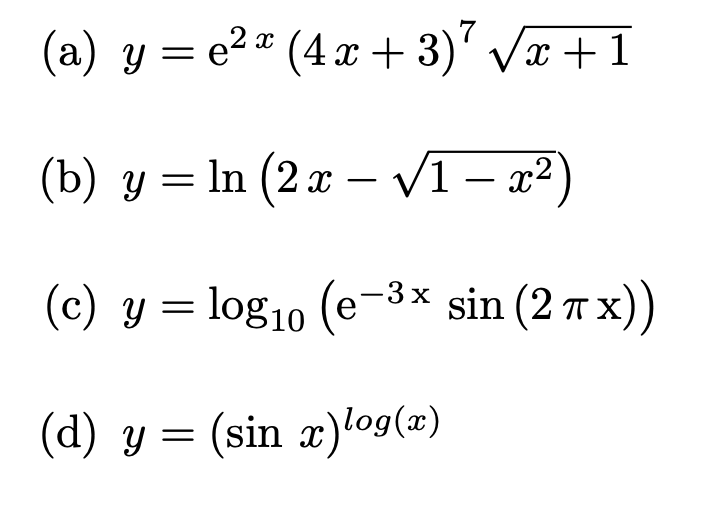
Question: Differentiate using logarithmic differentiation when appropriate (a) y = e2x (4x + 3) Vx+ 1 (b) y = In (2x - V1 -22 (c) y
Differentiate using logarithmic differentiation when appropriate

(a) y = e2x (4x + 3) Vx+ 1 (b) y = In (2x - V1 -22 (c) y = log10 (e-3* sin 2 TX (d) y = (sin x) 9(x)
Step by Step Solution
There are 3 Steps involved in it
Get step-by-step solutions from verified subject matter experts
