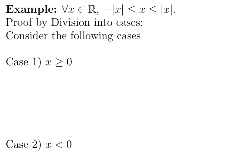
Question: discrete mathematics Example: Vr E R, |x| 0 Case 2) x
discrete mathematics
Example: Vr E R, |x| 0 Case 2) x
Step by Step Solution
There are 3 Steps involved in it
1 Expert Approved Answer
Step: 1 Unlock
Question Has Been Solved by an Expert!
Get step-by-step solutions from verified subject matter experts
Step: 2 Unlock
Step: 3 Unlock
