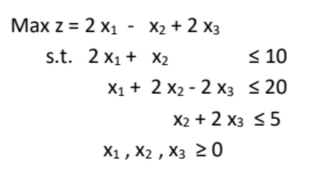
Question: DO NOT USE ANY SOFTWARE OR APPLICATION TO SOLVE THE PROBLEM Use the revised simplex algorithm to solve the following LP problem : Max z
DO NOT USE ANY SOFTWARE OR APPLICATION TO SOLVE THE PROBLEM Use the revised simplex algorithm to solve the following LP problem :

Max z = 2 X1 - X2 + 2 X3 s.t. 2 X1 + X2
Step by Step Solution
There are 3 Steps involved in it
Get step-by-step solutions from verified subject matter experts
