Question: DPS - DPS= ADJ[POR(EPS,) DPS, (1 -T, S +T B PE Rp = (1-T )N Price Before Pe= Pr- Rp Price Before 1 +% stock

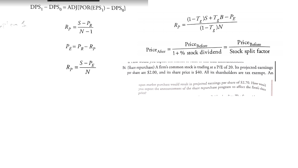
DPS - DPS= ADJ[POR(EPS,) DPS, (1 -T, S +T B PE Rp = (1-T )N Price Before Pe= Pr- Rp Price Before 1 +% stock dividend Price After Stock split factor U. IN HU L EE. B4. (Share repurchase) A firm's common stock is trading at a P/E of 20. Its projected earnings per share are $2.00, and its share price is $40. All its shareholders are tax exempt. An 2.70. How would he firm's share open market purchase would result in projected earnings per share of $2.70. How you expect the announcement of the share repurchase program to affect the firm's price DPS - DPS= ADJ[POR(EPS,) DPS, (1 -T, S +T B PE Rp = (1-T )N Price Before Pe= Pr- Rp Price Before 1 +% stock dividend Price After Stock split factor U. IN HU L EE. B4. (Share repurchase) A firm's common stock is trading at a P/E of 20. Its projected earnings per share are $2.00, and its share price is $40. All its shareholders are tax exempt. An 2.70. How would he firm's share open market purchase would result in projected earnings per share of $2.70. How you expect the announcement of the share repurchase program to affect the firm's price
Step by Step Solution
There are 3 Steps involved in it
Get step-by-step solutions from verified subject matter experts
