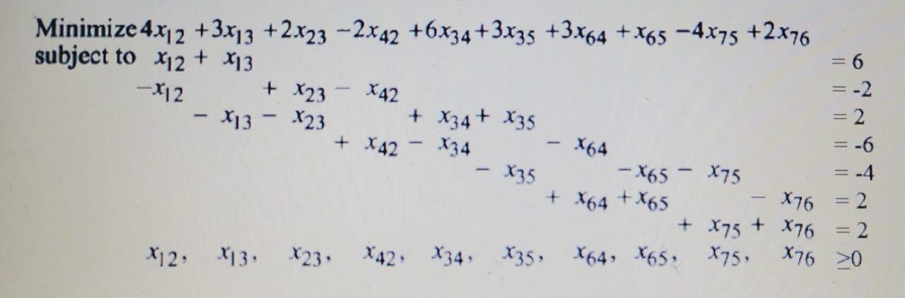
Question: Draw a network regarding the following linear programming problem Minimize 4x12 +3x13 +2x23 - 2x42 +6X34 +3X35 +3x64 + X65 -4x75 +2x76 = 6 subject
Draw a network regarding the following linear programming problem 
Minimize 4x12 +3x13 +2x23 - 2x42 +6X34 +3X35 +3x64 + X65 -4x75 +2x76 = 6 subject to x12 + x13 = -2 -X12 + X23 *42 X13 X23 + Xz4+ xzs = 2 = -6 X34 - X65 - X75 + x64 +x65 = 2 + X75 + x76 = 2 X76 >O X12. 13. 123, *42, 34, 35, 364, X65, 175, + X42 X64 X35 X76
Step by Step Solution
There are 3 Steps involved in it
Get step-by-step solutions from verified subject matter experts
