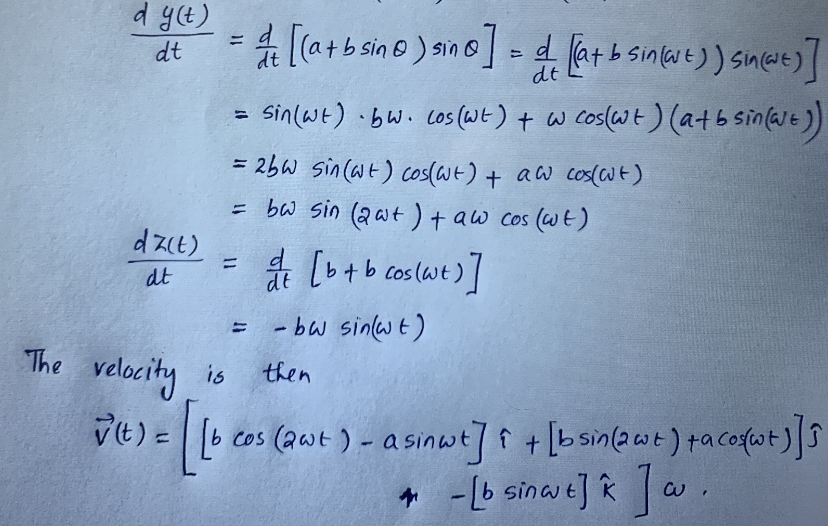
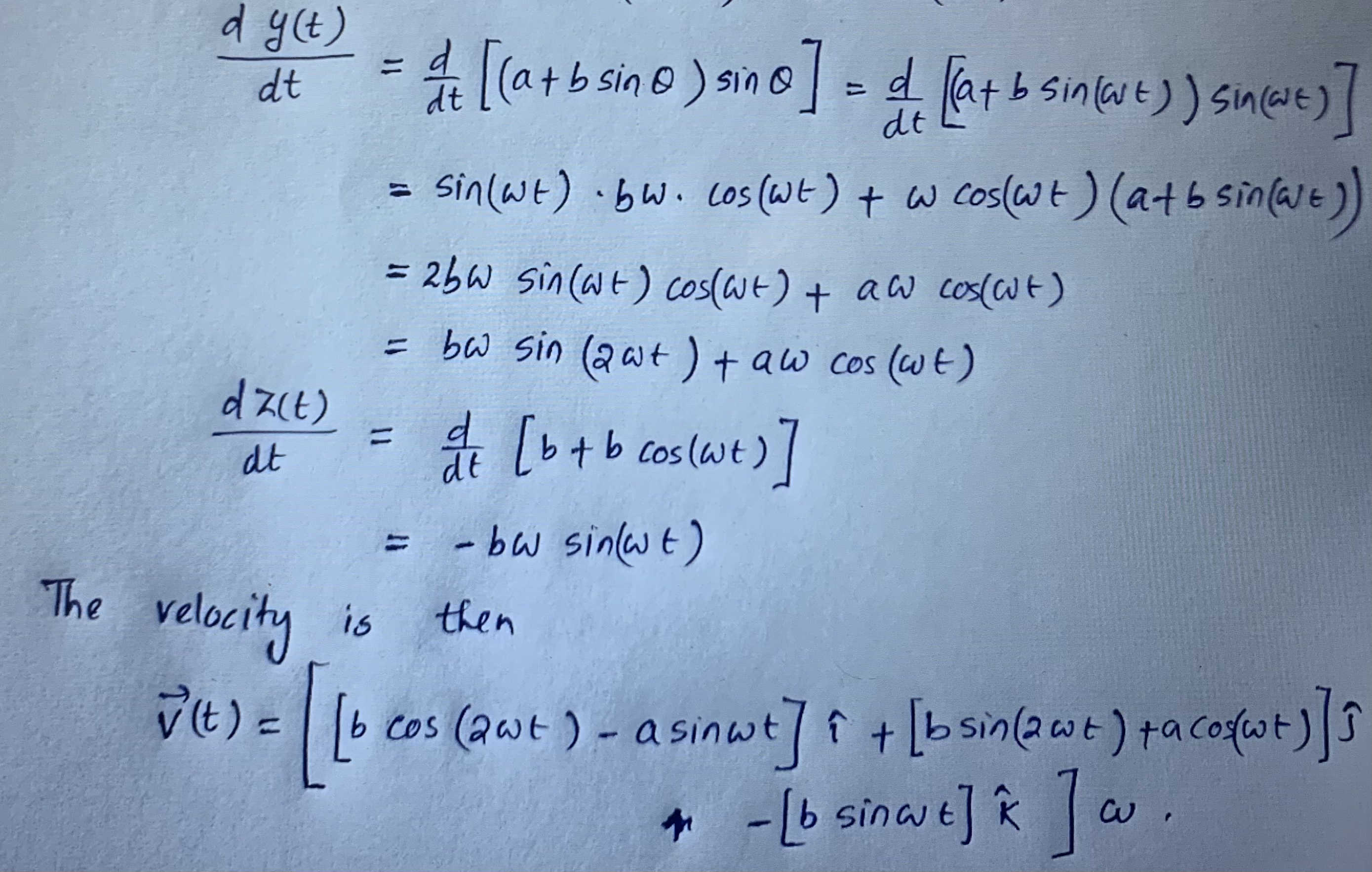
Question: dy ( t ) at = = [ ( at b sino ) sino / = d [ ( at 6 sin ( wt )


dy ( t ) at = = [ ( at b sino ) sino / = d [ ( at 6 sin ( wt ) ) sin (WE )/ at = sin ( WE ) . bw. cos ( WE ) + w cos( wt ) ( at 6 sin (WE ) = 2bw sin (Wt ) cos( wt )+ aw cos( wt ) = bw sin ( 2 at ) + aw cos ( WE ) dz(t ) = dt at [ b + b cos( wt ) ] = - bw sin(wt ) The velocity is then V (t ) = | |6 cos ( awt ) - asinwt / 1 + [ bsin ( 2 wt ) tacos wt )|] 1 - [ b since ]K | w
Step by Step Solution
There are 3 Steps involved in it
Get step-by-step solutions from verified subject matter experts
