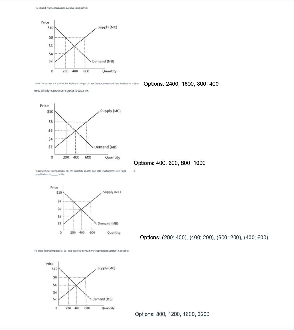
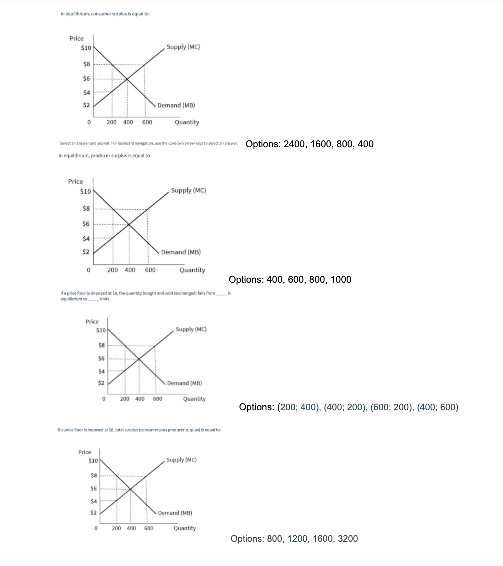
Question: Each question is above each graph. The answer choices to the questions are next to it. Please help! n equilibrium, consumer surplus is equal to:

Each question is above each graph. The answer choices to the questions are next to it. Please help!

n equilibrium, consumer surplus is equal to: Price $10 Supply (MC) $8 56 $4 Demand (MB) 200 400 600 Quantity Select an answer and submit. For keyboard navigation, use the up/down arrow keys to select an answer. Options: 2400, 1600, 800, 400 In equilibrium, producer surplus is equal to: Price $10 Supply (MC) $8 56 54 52 0 200 400 600 Quantity Options: 400, 600, 800, 1000 If a price floor is imposed at $8, the quantity boug ged) falls from equilibrium to Price $10 Supply (MC) 52 Demand (MB) 0 200 400 6 Quantity Options: (200; 400), (400; 200), (600; 200), (400; 600) If a price floor is imposed at $8, total surplus (consumer plus producer surplus] is equal toc Price $10 $8 $6 $4 $2 Quantity Options: 800, 1200, 1600, 3200
Step by Step Solution
There are 3 Steps involved in it
Get step-by-step solutions from verified subject matter experts
