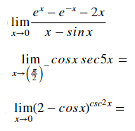
Question: ed - e-* - 2x lim X - SInX lim coxx sec)x lim(2 - cosx CSC2x ex 2X lim x s Inx lim cosx sec5x

ed - e-* - 2x lim X - SInX lim coxx sec)x lim(2 - cosx CSC2x
ex 2X lim x s Inx lim cosx sec5x lim(2 csc2 x cosx)
Step by Step Solution
There are 3 Steps involved in it
Get step-by-step solutions from verified subject matter experts
