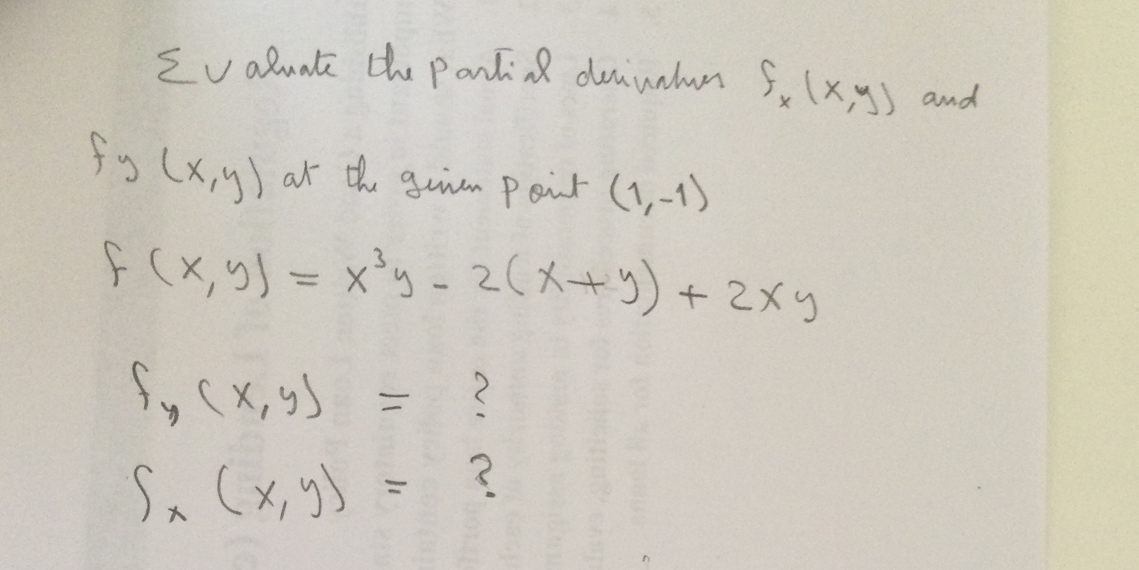
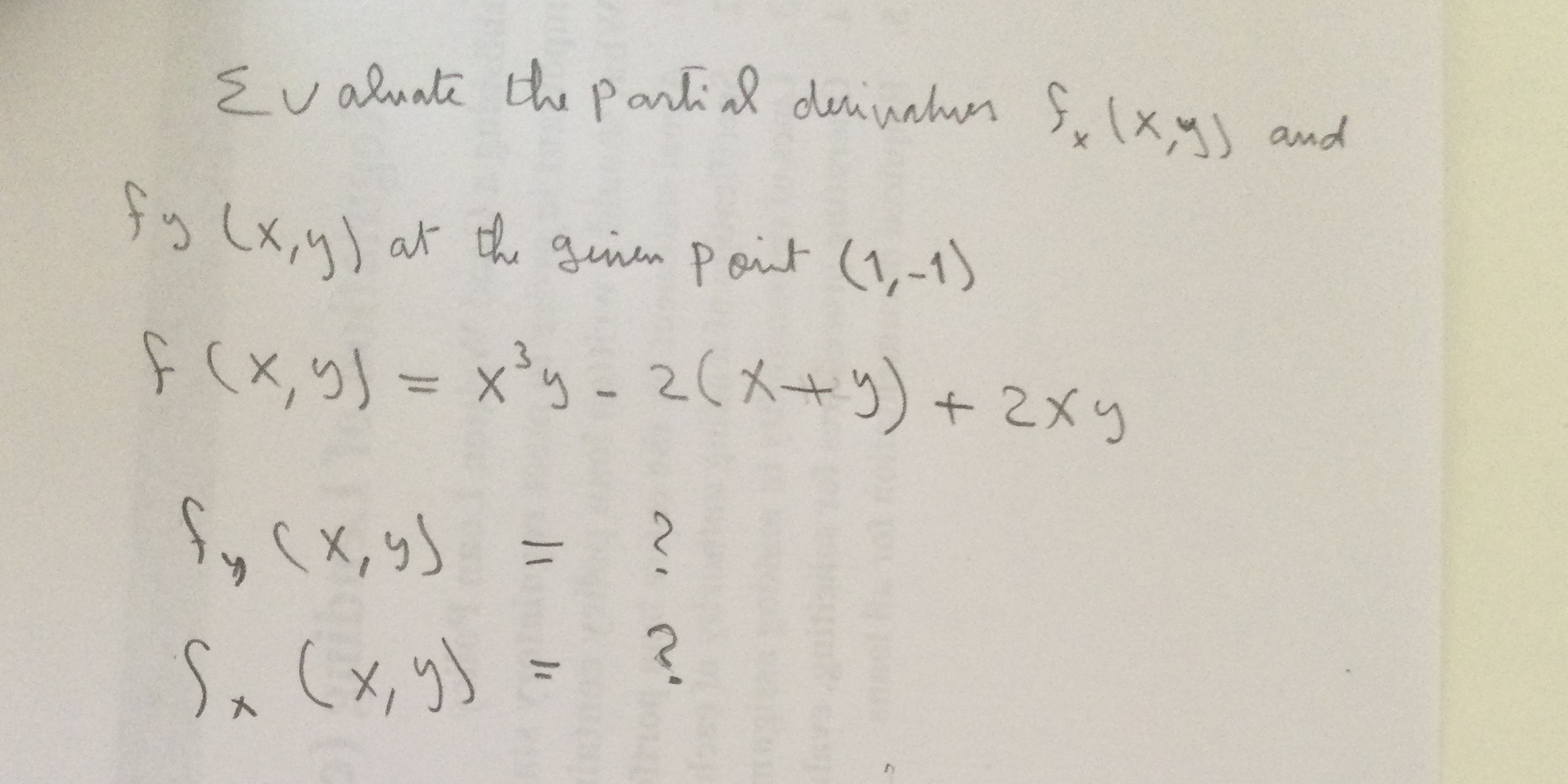
Question: EIBFS Evaluate the partial derivatives S, ( x y) and fog ( x, ) at the given point ( 1,-1) f ( x, y) =

EIBFS

Evaluate the partial derivatives S, ( x y) and fog ( x, ") at the given point ( 1,-1) f ( x, y) = xby - 2( xty ) +2xy fy (x, y) = .0 IN Sx ( x, y)
Step by Step Solution
There are 3 Steps involved in it
Get step-by-step solutions from verified subject matter experts
