Question: ELASTICITY EXERCISE Name _____________________________11) Due ____________ Please show work in detail. All questions utilize the multivariate demand function for Smooth Sailing sailboats in C6 on
ELASTICITY EXERCISE
Name _____________________________11) Due ____________ Please show work in detail.
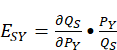
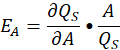
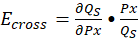
All questions utilize the multivariate demand function for Smooth Sailing sailboats in C6 on text page 83.Compute to three decimal places.
Initial values are: PX = $9500 PY = $10000 I = $15000 A = $170000 W = 160
This function is: Qs = 89830 -40PS +20PX +15PY +2I +.001A +10W
1.(a) Use the above to calculate thearc price elasticity of demand between PS = $8000 decreasing to PS = $7000. The arc elasticity formula is:




AQ AP P1 + P2 Q1 + Q2
Step by Step Solution
There are 3 Steps involved in it
Get step-by-step solutions from verified subject matter experts
