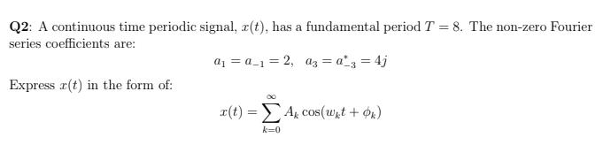
Electrical Engineering Questions and Answers April 19, 2020

Expert-verified solutions to help you succeed